摘要:2015年系統分析師考試真題上午綜合知識部分,供大家參考學習。
以下為2015年系統分析師考試真題上午綜合知識部分,供大家參考學習。
●UML結構中的公共機制是指達到特定目標的公共UML方法,其中__(1)__是事物語義的細節描述,它是模型真正的核心;__(2)__包括約束、構造型和標記值。
(1)A.規則說明
B.修飾
C.公共分類
D.擴展機制
(2)A.規則說明
B.修飾
C.公共分類
D.擴展機制
●UML用關系把事物結合在一起,其所包含的四種關系中,__(3)__描述一組對象之間連接的結構關系;__(4)__描述特殊元素的對象可以替換一般元素的對象。
(3)A.依賴關系
B.關聯關系
C.泛化關系
D.實現關系
(4)A.依賴關系
B.關聯關系
C.泛化關系
D.實現關系
●UML所包括的圖形中,__(5)__將進程或其他計算結構展示為計算內部的控制流和數據流,主要用來描述系統的動態視圖。
(5)A.流程圖
B.通信圖
C.活動圖
D.協作圖
●IEEE 802.1x是一種__(6)__認證協議。
(6)A.用戶ID
B.報文
C.MAC地址
D.SSID
●為了彌補WEP的安全缺陷,WPA安全認證方案中新增的機制是__(7)__。
(7)A.共享密鑰認證
B.臨時密鑰完整性協議
C.較短的初始化向量
D.采用更強的加密算法
●信息系統安全可劃分為物理安全、網絡安全、系統安全和應用安全,__(8)__屬于系統安全,__(9)__屬于應用安全。
(8)A.機房安全
B.入侵檢測
C.漏洞補丁管理
D.數據庫安全
(9)A.機房安生
B.入侵檢測
C.漏洞補丁管理
D.數據庫安全
●王某是某公司軟件設計師,每當軟件開發完成后均按公司規定編寫軟件文檔,并提交公司存檔。該軟件文檔的著作權__(10)__享有。
(10)A.應由公司
B.應由公司和王某共同
C.應自王某
D.除署名權以外,著作權的其他權利由王某
●王某原是M軟件公司的軟件設計師,一直從事計算機網絡端口優化處理的研發工作。王某退休10個月完成了網絡端口優化處理程序發明,解決了計算機網絡端口有效利用率技術問題。該項涉及計算機程序發明的專利申請權應由__(11)__享有。
(11)A.公司
B.王某
C.公司、王某
D.先申請者
●美國甲公司生產的平板計算機在其本國享有“A”注冊商標專用權,但未在中國申請注冊。我國乙公司生產的平板計算機也使用“A”商標,并享有我國注冊商標專用權。美國甲公司與我國的乙公司生產的平板計算機都在我國市場上銷售。此情形下,依據我國商標法__(12)__商標權。
(12)A.甲公司侵犯了乙公司的
B.甲公司與乙公司均未侵犯
C.乙公司侵犯了甲公司的
D.甲公司與乙公司均侵犯了
●王某原是M軟件公司的項目經理,未與M軟件公司簽訂勞動合同及相應的保密協議。王某離職后受聘于L軟件公司,先后將其在M軟件公司任職期間掌握的軟件開發思想、處理過程及客戶信息等用于L軟件公司的開發與管理活動,提高了L軟件公司的經濟效益。王某行為__(13)__。
(13)A.侵犯了M軟件公司的軟件著作權
B.侵犯了M軟件公司的商業秘密權
C.既侵犯M軟件公司的軟件著作權,也侵犯M軟件公司的商業秘密權
D.既未侵犯M軟件公司的軟件著作權,也未侵犯M軟件公司的商業秘密權
●Flynn分類法根據計算機在執行程序的過程中__(14)__的不同組合,將計算機分為4類。當前主流的多核計算機屬于__(15)__計算機。
(14)A.指令流和數據流
B.數據流和控制流
C.指令流和控制流
D.數據流和總線帶寬
(15)A.SISD
B.SIMD
C.MISD
D.MIMD
●下列關于虛擬存儲器的敘述中,正確的是__(16)__。
(16)A.對應用程序員透明,對系統程序員不透明
B.對應用程序員不透明,對系統程序員透明
C.對應用程序員、系統程序員都不透明
D.對應用程序員、系統程序員都透明
●某計算機系統采用集中式總線仲裁方式,各個主設備得到總線使用權的機會基本相等,則該系統采用的總線仲裁方式__(17)__。
①菊花鏈式查詢方式②計數器定時查詢(輪詢)方式③獨立請求方式
(17)A.可能是③,不可能是①或②
B.可能是②或⑨,不可能是①
C.可能是②,不可能是①或③
D.可能是①、②或③
●關于大規模并行處理器MPP,以下說法不正確的是__(18)__。
(18)A.大多數MPP系統使用標準的CPU作為它們的處理器
B.其互連網絡通常采用商用的以太網實現
C.是一種異步的分布式存儲器結構的MIMD系統
D.使用特殊的硬件和軟件來監控系統、檢測錯誤并從錯誤中平滑地恢復
●某政府機關希望將位于單位內部信息系統中的新聞、信息等發布到互聯網上,并實現一部分網上辦公能力。對于這種應用集成需求,最適合的集成方式是__(19)__。
(19)A.數據集成
B.界面集成
C.API集成
D.門戶集成
●某軟件公司分為研發、人力資源管理、市場營銷等部門,通過部門之間互相協作完成項目。該公司的組織結構屬于__(20)__。
(20)A.矩陣型組織結構
B.職能型組織結構
C.產品型組織結構
D.協作型組織結構
●某軟件公司欲開發一個基于Web的考勤管理系統。在項目初期,客戶對系統的基本功能、表現形式等要求并不明確,在這種情況下,采用__(21)__開發方法比較合適。
(21)A.瀑布式
B.形式化
C.結構化
D.極限編程
●系統組織結構與功能分析中,可以采用多種工具,其中__(22)__描述了業務和部門的關系。
(22)A.組織/業務關系圖
B.業務功能一覽圖
C.組織結構圖
D.物資流圖
●采用數據倉庫技術進行數據收集時,有時會遇一些略微不一致但可以糾正的數據,糾正這些數據的過程稱為__(23)__。
(23)A.數據轉換
B.數據抽取
C.數據清洗
D.數據裝載
●PERT圖是進度安排的常用圖形描述方法之一,它能夠__(24)__。在PERT圖上通過__(25)__分析可以計算完成整個項目的最短工期。
(24)A.描述每個任務的進展情況以及各個任務之間的并行性
B.反映各個任務之間的依賴關系
C.以日歷為基準描述項目任務
D.用條形表示每個任務的持續時間
(25)A.松弛時間
B.依賴關系
C.關鍵路徑
D.并行關系
●下列活動,__(26)__不屬于需求開發活動的范疇。
(26)A.跟據系統需求識別和確認系統功能
B.將所收集的用戶需求編寫成文檔和模型
C.針對系統特點,考慮并確定系統開發平臺與程序設計語言
D.了解實際用戶任務和目標以及這些任務所支持的業務需求
●__(27)__把軟件項目整體或者主要的可交付成果分解為易于管理、方便控制的若干個子項目;再將子項目繼續分解為工作包。在每個分解單元中,都存在可交付成果和里程碑。該模型的主要用途是__(28)__。
(27)A.分層數據流圖
B.軟件模塊圖
C.工作分解結構WBS
D.PERT圖
(28)A.描述軟件項目的功能需求
B.定義項目邊界,有助于防止需求蔓延
C.對軟件的靜態結構進行建模
D.刻畫軟件開發活動之間的依賴關系
●在進行需求開發的過程中,__(29)__可能會給項目帶來風險。
(29)A.對于每項需求的可行性均進行分析,以確定是否能按計劃實現
B.使用模型和原型描述一些模糊的需求
C.評估每項新需求的優先級,并與已有工作對比,做出相應的決策
D.采用最新的技術、工具或平臺實現關鍵需求
●在系統開發中,原型可以劃分為不同的種類。從原型是否實現功能來分,可以分為水平原型和垂直原型;從原型最終結果來分,可以分為拋棄式原型和演化式原型。以下關于原型的敘述中,正確的是__(30)__。
(30)A.水平原型適合于算法較為復雜的項目
B.垂直原型適合于Web項目
C.拋棄式原型適合于需求不確定、不完整、含糊不清的項目
D.演化式原型主要用于界面設計
●面向服務的開發方法有三個主要的抽象級別:操作、服務和業務流程。以下關于操作、服務和業務流程的敘述中,正確的是__(31)__。
(31)A.位于較高層的操作代表單個邏輯單元的事物
B.服務的執行通常會導致讀、寫或修改一個或多個持久性數據
C.業務流程代表操作的邏輯分組
D.服務的操作具有特定的結構化接口,并且返回結構化的響應
●軟件配置管理中,每一項配置變更都要在配置狀態報告中進行詳細的記錄。配置狀態報告的信息流如下圖所示,圖中①②③處分別是__(32)__。

(32)A.配置確定、配置審核、配置控制
B.配置審核、配置控制、配置確定
C.配置確定、配置控制、配置審核
D.配置控制、配置確定、配置審核
●以下不屬于軟件容錯技術的是__(33)__。
(33)A.熱備份或冷備份系統
B.糾錯碼
C.三模冗余
D.程序走查
●某在線交易平臺的“支付”功能需求描述如下:客戶進行支付時,可以使用信用卡支付或支付寶支付。從中抽象出3個用例:支付、信用卡支付和支付寶支付,這3個用例之間的關系是__(34)__。
A.
B.
C.
D.
●UML用系統視圖描述系統的組織結構。其中,__(35)__對組成基于系統的物理代碼的文件和構件進行建模。
(35)A.用例視圖
B.邏輯視圖
C.實現視圖
D.部署視圖
●采用以下設計思路實現下圖所示的目錄瀏覽器:目錄中的每個目錄項被認定為一個類,其屬性包括名稱、類型(目錄或文件)、大小、擴展名、國標等。為節省內存空間,要求不能將具有相同屬性(例如類型、擴展名、圖標相同)的相同文件看作不同的對象。能夠滿足這一要求的設計模式是__(36)__。

(36)A.Flyweight
B.Proxy
C.Command
D.State
●以下關于企業應用集成的敘述中,正確的是__(37)__。
(37)A.過程集成為用戶提供一個看上去統一,但是由多個系統組成的應用系統
B.實現表示集成時,可以借助于遠程過程調用、分布式對象技術等方法
C.數據集成適合于業務邏輯經常發生變化的場合
D.控制集成是在業務邏輯層上對應用系統進行集成,其集成點在程序代碼中
●企業信息化戰略與企業戰略集成時,對于現有信息系統不能滿足當前管理中業務需要的企業,適用的方法是__(38)__。
(38)A.EITA(企業IT架構)
B.BPR(業務流程重組)
C.BITA(業務與IT整合)
D.ERP(企業資源計劃)
●在綜合考慮企業內外環境,以集成為核心,圍繞企業戰略需求進行信息系統規劃時,適合于采用的方法是__(39)__。
(39)A.戰略柵格法
B.價值鏈分析法
C.信息工程法
D.戰略集合轉化法
●數據倉庫中數據__(40)__的特點是指數據一旦進入數據倉庫后,將被長期保留并定期加載和刷新,可以進行各種查詢操作,但很少對數據進行修改和刪除操作。
(40)A.面向主題
B.集成性
C.相對穩定性
D.反映歷史變化
●數據挖掘的分析方法可以劃分為關聯分析、序列模式分析、分類分析和聚類分析四種。如果某方法需要一個示例庫(該庫中的每個元組都有一個給定的類標識)做訓練集時,這種分析方法屬于__(41)__。
(41)A.關聯分析
B.序列模式分析
C.分類分析
D.聚類分析
●給定關系模式R(A1,A2,A3,A4),R上的函數依賴集F={A1A3->A2,A2->A3},則R__(42)__。若將R分解為p={(A1,A2),(A1,A3)},那么該分解__(43)__。
(42)A.有一個候選關鍵字A1A3
B.有一個候選關鍵字A1A2A3
C.有兩個候選關鍵字A1A3A4和A1A2A4
D.有三個候選關鍵字A1A2、A1A3和A1A4
(43)A.是無損聯接的
B.是保持函數依賴的
C.既是無損聯接又保持函數依賴
D.既是有損聯接又不保持函數依賴
●關系R、S如下表所示,R÷(πA1,A2(σ1<3(S)))的結果為__(44)__,R、S的左外聯接、右外聯接和完全外聯接的元組個數分別為__(45)__。

(44)A.{4}
B.{3,4}
C.{3,4,7}
D.{(1,2),(2,1),(3,4),(4,7)}
(45)A.2,2,4
B.2,2,6
C.4,4,4
D.4,4,6
●當用戶開機按下PC機電源開關對,PC機首先執行的是__(46)__,然后加載__(47)__。
(46)A.硬盤上主引導記錄
B.硬盤上分區引導記錄
C.主板上的BIOS引導程序
D.軟盤上的引導記錄
(47)A.相關支撐軟件,如各種設備驅動程序
B.分區引導記錄、配置系統,并執行分區引導記錄
C.操作系統,如Windows XP、Windows 7、UNIX等
D.主引導記錄和引導驅動器的分區表,并執行主引導記錄
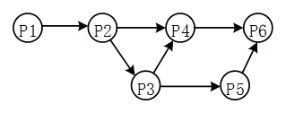
●進程P1、P2、P3、P4、P5和P6的前趨圖如下所示:

若用PV操作控制這6個進程的同步與互斥的程序如下,那么程序中的空①和空②處應分別為__(48)__;空③和空④處應分別為__(49)__;空⑤和空⑥處應分別為__(50)__。

(48)A.V(S1)和P(S2)
B.P(S1)和V(S2)
C.V(S1)和V(S2)
D.V(S2)和P(S1)
(49)A.V(S4)V(S5)和P(S3)
B.P(S4)P(S5)和V(S3)
C.V(S3)V(S4)和V(S5)
D.P(S3)V(S4)和P(S3)
(50)A.P(S6)和V(S5)
B.P(S6)和P(S5)
C.V(S5)和V(S6)
D.V(S6)和P(S5)
●嵌入式系統初始化過程主要有3個環節,按照自底向上、從硬件到軟件的次序依次為__(51)__。
(51)A.片級初始化→系統級初始化→板級初始化
B.片級初始化→板級初始化→系統級初始化
C.系統級初始化→板級初始化→片級初始化
D.系統級初始化→片級初始化→板級初始化
●線性規劃問題不可能__(52)__。
(52)A.沒有最優解
B.只有一個最優解
C.只有2個最優解
D.有無窮多個最優解
●某工程的進度計劃網絡圖如下,其中包含了①~⑩10個結點,結點之間的箭線表示作業及其進度方向,箭線旁標注了作業所需的時間(單位:周)。設起始結點①的時間為0,則結點⑤的最早時間和最遲時間分別為__(53)__周。

(53)A.9,19
B.9,18
C.15,17
D.15,16
●某石油管理公司擁有下圖所示的輸油管道網。其中有6個站點,標記為①~⑥。站點①是供油站。各站點之間的箭線表示輸油管道和流向。箭線邊上標注的數字表示該管道的最大流量(單位:百噸/小時)。據此可算出,從站點①到達站點⑥的最大流量為__(54)__百噸/小時,而且當管道__(55)__關閉維修時管道網仍可按該最大流量值向站點⑥供油。

(54)A.14
B.15
C.16
D.18
(55)A.②→③
B.②→⑤
C.③→④
D.⑤→④
●某公司擬將5百萬元資金投放下屬A、B、C三個子公司(以百萬元的倍數分配投資),各子公司獲得部分投資后的收益如下表所示(以百萬元為單位)。該公司投資的總收益至多為__(56)__百萬元。

(56)A.4.8
B.5
C.5.2
D.5.5
●已知17個自然數(可有重復)的最小值是30,平均值是34,中位數是35,所有各數到38的距離之和比到35的距離之和多5,由此可以推斷,這17個數中只有1個__(57)__。
(57)A.30
B.34
C.36
D.37
●某團隊希望在未來18天內串行選做若干個作業。供選各作業所需的實施時間(天數)、截止時間(最遲必須在指定的數天內完工)以及利潤見下表:

該團隊只要能適當選擇若干個作業依次實施,就能獲得最大利潤__(58)__萬元。
(58)A.23
B.24
C.25
D.26
●某博覽會每天8:00開始讓觀眾通過各入口處檢票進場,8:00前已經有很多觀眾在排隊等候。假設8:00后還有不少觀眾均勻地陸續到達,而每個入口處對每個人的檢票速度都相同。根據以往經驗,若開設8個入口,則需要60分鐘才能讓排隊觀眾全部入場;若開設10個入口,則需要40分鐘才能消除排隊現象。為以盡量少的入口數確保20分鐘后消除排隊現象,博覽會應在8:00和8:20開設的入口數分別為__(59)__。
(59)A.12,2
B.14,4
C.16,4
D.18,6
●計算機系統性能評估中,__(60)__考慮了各類指令在程序中所占的比例。__(61)__考慮了諸如I/O結構、操作系統、編譯程序的效率對系統性能的影響,可以較為準確評估計算機系統的實際性能。
(60)A.時鐘頻率法
B.等效指令速度法
C.綜合理論性能法
D.基準程序法
(61)A.時鐘頻率法
B.等效指令速度法
C.綜合理論性能法
D.基準程序法
●MPEG-1視頻編碼標準中定義了__(62)__種不同類型的視頻幀,其中沒有使用幀間編碼能夠直接作為索引點的是__(63)__。
(62)A.2
B.3
C.4
D.5
(63)A.I幀
B.P幀
C.B幀
D.S幀
●網絡管理系統中故障管理的目標是__(64)__。
(64)A.自動排除故障
B.優化網絡性能
C.提升網絡安全
D.自動監測故障
●使用netstat-o命令可__(65)__。
(65)A.顯示所測試網絡的IP、ICMP、TCP、UDP協議的統計信息
B.顯示以太網統計信息
C.以數字格式顯示所有連接、地址及端口
D.顯示每個連接的進程ID
●所列出的4個IPv6地址中,無效的地址是__(66)__。
(66)A.::192:168:0:1
B.:2001:3452:4955:2367::
C.2002:c0a8:101::43
D.2003:dead:beef:4dad:23:34:bb:101
●IPv6站點通過IPv4網絡通信需要使用隧道技術,常用的3種自動隧道技術是__(67)__。
(67)A.VPN隧道、PPTP隧道和IPsec隧道
B.6to4隧道、6over4隧道和ISATAP隧道
C.VPN隧道、PPP隧道和ISATAP隧道
D.IPsec隧道、6over4隧道和PPTP隧道
●如果在網絡的入口處通過設置ACL封鎖了TCP和UDP端口21、23和25,則能夠訪問該網絡的應用是__(68)__。
(68)A.FTP
B.DNS
C.SMTP
D.Telnet
●4G移動通信標準TD-LTE與LTE FDD的區別是__(69)__。
(69)A.頻率的利用方式不同
B.劃分上下行信道的方式不同
C.采用的調制方式有區別
D.擁有專利技術的廠家不同
●如果發現網絡的數據傳輸很慢,服務質量也達不到要求,應該首先檢查__(70)__的工作情況。
(70)A.物理層
B.會話層
C.網絡層
D.傳輸層
●A requirement is simply a statement of what the system must do or what characteristics it needs to have.Requirements evolve from broad statements of overall __(71)__ from the system to detailed statements of the business capabilities that a system should support to detailed technical statements of the way in which the capabilities will be implemented in the new system.__(72)__ focus on describing how to create the software product that will be produced from the project Nonfunctional requirements are primarily used in the design phase when decisions are made about the user interface,the hardware and software,and the system's underlying architecture.The system's physical and technical environments would be considered __(73)__.The speed,capacity,and reliability of the system belong to __(74)__.__(75)__ describes that who has authorized access to the system under what circumstances.
(71)A.business needs
B.operation processes
C.technical specification
D.function components
(72)A.User requirements
B.Business requirements
C.Function requirements
D.System requirements
(73)A.a functional requirement
B.a technical requirement
C.an operational requirement
D.a service requirenient
(74)A.security requirement
B.performance requirement
C.technical requirement
D.information requirement
(75)A.System constraint
B.Cultural requirement
C.Control requirement
D.Security requirement
軟考科目怎么選?
微信掃碼下方二維碼找答案
▼ ▼ ▼
熱門:系統集成項目管理工程師備考 | 2025下半年軟考高級選科
推薦:系統規劃與管理師網絡課堂 | 2025下半年軟考報名時間及入口
課程:系統規劃與管理師報考指南 | PMP課程 | 25下半年系統集成備考經驗
軟考備考資料免費領取
去領取
專注在線職業教育24年